团队依托原子与分子物理、凝聚态物理、量子光学等学科方向,聚焦功能材料领域开展前沿理论研究,主要包括:原子间相互作用势模型、光限幅分子材料设计、拓扑材料设计与物性、量子通信与传感技术等四个方向。团队现有教授 1 人,讲师 3 人,在读研究生 18 人,先后主持省部级以上项目10余项,其中国家自然科学基金项目 8 项, 以第一/通讯作者身份在 Phys. Rev. Lett., Phys. Rev. A, Phys. Rev. B,Phys. Chem. Chem. Phys. 等期刊发表论文 70 余篇。
团队成员
 | 盛晓伟,教授、博士生导师、全国计算原子与分子物理专业委员会委员、省青年拔尖人才,主要从事原子分子结构与谱学研究。 | 
|
胡长生,讲师、硕士生导师,主要从事腔量子电动力学和腔光力学的理论研究。 |
 |
钱士峰,讲师、硕士生导师,主要从事拓扑材料设计与物性研究。 | 
|
王震委,讲师、硕士生导师,主要从事低维材料第一性原理计算和理论模型构造研究。 |
团队研究方向
1. 原子间相互作用势
该研究方向针对范德瓦尔斯类功能材料体系中原子间相互作用势的高精度计算需求,发展具有清晰物理图像的少参数全程解析势模型。该方向取得的代表性成果如下:
[1]. Xiaowei Sheng, J.Peter Toennies* and K.T. Tang, Conformal analytical potential for all rare gas dimers over the full range of internuclear distances, Phys. Rev. Lett., 125, 253402 (2020).
[2]. Xiaowei Sheng, Mengyuan Li, and K.T. Tang*, An accurate potential model for the a3Ʃu+ state of the lithium dimer, Phys. Chem. Chem. Phys., 24, 13325 (2022).
[3]. Yihan Hu, Xiaowei Sheng*, Jian Wang, and Evert Jan Baerends*, Dispersion energies with the i-DMFT method, J. Chem. Theory Comput., 20, 5466 (2024).
2. 光限幅分子材料设计
该研究方向面向基于高强度激光技术的新质生产力发展需求,设计第一性原理计算方法,计算和分析光限幅分子光谱,并将其应用于新型光限幅材料的设计。该方向取得的代表性成果如下:
[1]. Xiaowei Sheng*, Hongjuan Zhu, Kai Yin, Jichao Chen, Jian Wang*, Chunrui Wang, Junfeng Shao and Fei Chen, Excited-state absorption by linear response time-dependent density functional theory, J. Phys. Chem. C, 124, 4693 (2020).
[2]. Hongjuan Zhu, Danyang Zhang, Eryin Feng, and Xiaowei Sheng*, Effects of aggregation on the structures and excited-state absorption for zinc phthalocyanine, Phys. Chem. Chem. Phys., 25, 10278 (2023).
[3]. Hongjuan Zhu, Danyang Zhang, Xianghao Sun, Shifeng Qian, Eryin Feng, and Xiaowei Sheng*, Intramolecular charge transfer enhanced optical limiting in novel hydrazone derivatives with a D1-D-Ai-π-A structure, Phys. Chem. Chem. Phys., 26, 12150 (2024).
3. 拓扑材料设计与物性
该研究方向面向新一代低能耗电子器件、量子信息技术的发展需求,结合第一性原理计算和理论分析,设计具有新奇量子效应的拓扑量子材料。该方向取得的代表性成果如下:
[1]. Xiaotian Wang, Jingbo Bai, Jianhua Wang, Zhenxiang Cheng*, Shifeng Qian*, Wenhong Wang, Gang Zhang, Zhi-Ming Yu, and Yugui Yao*, Real topological phonons in 3D carbon allotropes , Adv. Mater., 36, 2407437 (2024).
[2]. Zhenwei Wang*, Meiya Wang, Yong Zhou, Guangtao Wang, and Hongxia Zhong*, Multiple topological phase transitions in noncentrosymmetric Ga2BiAs, Phys. Rev. B, 110, 205146 (2024).
[3]. Yao Zhao, Qianmei Zhang,Shifeng Qian*, Xiuxian Yang*, and Xiaowei Sheng*, Half-metallic hybrid nodal chain and field-modulated anomalous transport in YMnO3, Phys. Rev. B, 112, 214428 (2025).
4. 量子通信与传感技术
该研究方向面向信息安全与高精度测量的重大战略需求,结合量子光学与量子调控技术,探索能够应用于新一代量子通信与传感技术的量子资源。该方向取得的代表性成果如下:
[1]. Ze Wu*, Changsheng Hu*, Tianyun Wang*, Yuquan Chen, Yuchen Li, Liqiang Zhao, Xin-You Lü†, and Xinhua Peng†, Experimental Quantum Simulation of Multicriticality in Closed and Open Rabi Model, Phys. Rev. Lett., 133, 173602 (2024).
[2]. Yuan Zhou*, Jing-Wei Wang, Lian-Zhen Cao, Guang-Hui Wang, Ze-Yun Shi, Dong-Yan Lü, Hai-Bo Huang and Changsheng Hu*, Realization of chiral two-mode Lipkin–Meshkov–Glick models via acoustics, Rep. Prog. Phys. 87, 100502 (2024).
[3]. Li-Li Zheng*, Yuan Zhou*, Jun Yang, Kun Chen, Xin-You Lü, and Changsheng Hu*, Nonreciprocal photon blockade via chiral cavity-atom interaction, Phys. Rev. A,111, 033715 (2025).
团队取得的重要成果
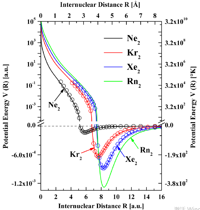
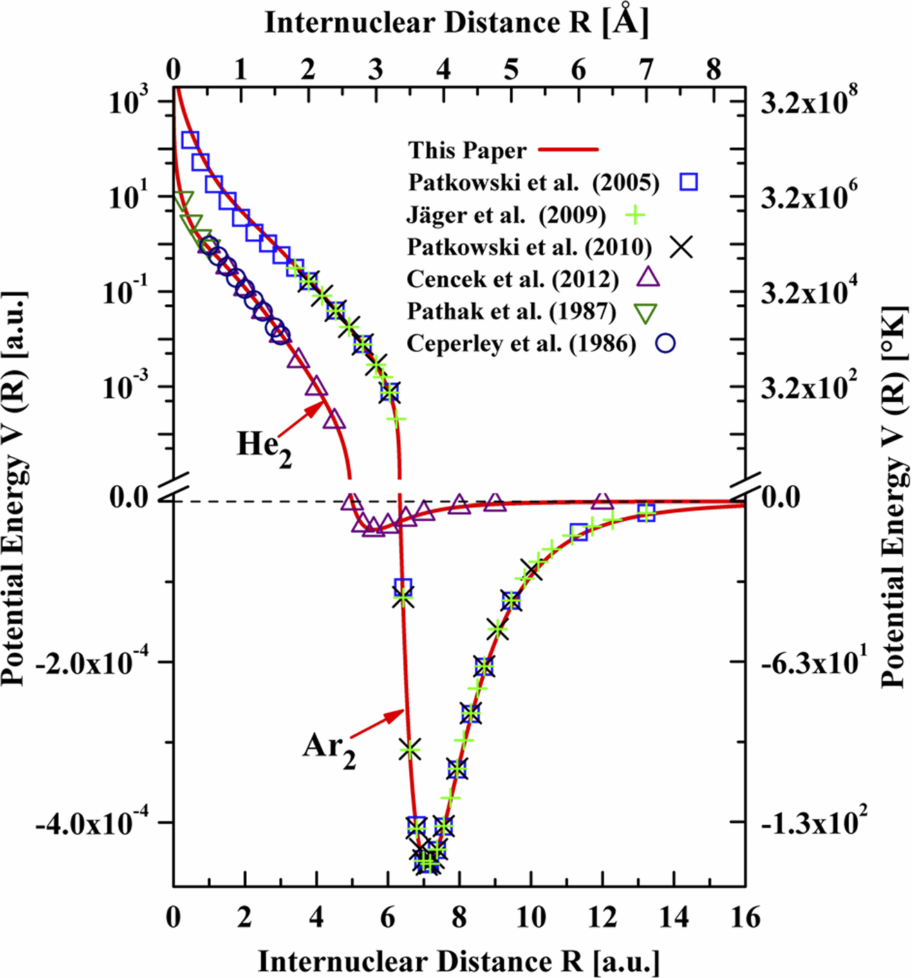
1. 发现了稀有气体族原子间相互作用势的约化势具有统一性规律;建立了稀有气体族多电子与少电子体系相互作用势的联系;首次得到了稀有气体族双原子分子体系仅含两个参数的全程解析势函数,并利用其构造了稀有气体族 21个双原子分子体系的全程解析势函数。[Physical Review Letters, 125, 253402, 2020]


2. 利用表面声学波量子器件耦合固态电子自旋构建杂化体系,通过激光调控实现手性双模Lipkin-Meshkov-Glick模型,使得在一个新的混合平台上模拟时间晶体和远程自旋相互作用等奇异量子现象成为可能。[Reports on Progress in Physics, 87, 100502, 2024]


3. 对整个碳元素材料数据库声子谱的高阶拓扑性质进行了高通量计算。首次在材料声子结构中理论预言了实陈数非平庸的节线、三重简并点和狄拉克点,为更多演生费米子实现提供丰富的候选材料;揭示了碳元素材料中广泛存在的高阶拓扑相和实陈数表征的拓扑相。[Adv. Mater., 36, 2407437, 2024]


研究生培养情况
(一)在读研究生
博士生:李东颖(2022级),孙祥浩(2025级)
硕士生:2023级:张 瑶,石西平,舒 磊,张 磊;
2024级:张莞婷,张钱妹,程 昂,杨 帆(固体所联培),苏佳杰(固体所联培);
2025级:朱美玲,王欣萌,王培晶,张依帆,黄子朔,毛兴国, 高 伟(能源研究院联培);
(二)已毕业研究生
博士生:朱红娟(2021级);
硕士生:胡凤飞(2015级),钱士峰(2016级),许 娴(2017级)朱红娟(2018级),周 浩(2019级),李梦圆(2020级),张丹阳(2020级),胡义涵(2021级),汤潘君(2021级);
团队每年拟招收物理学博士生1~2名,硕士生4~8名。
联系方式:E-mail:[email protected]
地 址:免费色情片
219 办公室